Art

Ecuaciones De Segundo Grado

Ecuaciones De Segundo Grado
Ecuaciones De Segundo Grado

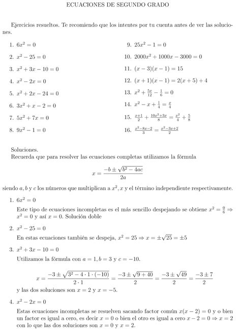
Solving ecuaciones de segundo grado, or quadratic equations, is a fundamental skill in mathematics that has wide-ranging applications in various fields, from physics and engineering to economics and computer science. These equations are of the form ax² + bx + c = 0, where a, b, and c are constants and a is not equal to zero. Understanding how to solve these equations is crucial for anyone looking to excel in these areas. This post will guide you through the process of solving ecuaciones de segundo grado, providing detailed explanations and examples to ensure a comprehensive understanding.

Understanding Quadratic Equations

Before diving into the methods of solving ecuaciones de segundo grado, it is essential to understand what these equations represent. A quadratic equation is a polynomial equation of degree two. The general form of a quadratic equation is:

ax² + bx + c = 0

Here, a, b, and c are coefficients, and x is the variable. The term ax² is the quadratic term, bx is the linear term, and c is the constant term. The solutions to a quadratic equation are the values of x that satisfy the equation.

Methods for Solving Quadratic Equations

There are several methods to solve ecuaciones de segundo grado. The most common methods include:

  • Factoring
  • Completing the square
  • Using the quadratic formula

Each method has its advantages and is suitable for different types of quadratic equations. Let’s explore each method in detail.

Factoring

Factoring is a method of solving quadratic equations by expressing the equation as a product of two binomials. This method is particularly useful when the quadratic equation can be easily factored. The general steps for factoring are:

  1. Rewrite the quadratic equation in the standard form ax² + bx + c = 0.
  2. Identify two numbers that multiply to ac and add up to b.
  3. Rewrite the middle term bx as the sum of two terms using the numbers identified in step 2.
  4. Factor the quadratic equation into two binomials.
  5. Set each binomial equal to zero and solve for x.

For example, consider the quadratic equation x² - 5x + 6 = 0. We can factor this equation as follows:

x² - 5x + 6 = (x - 2)(x - 3) = 0

Setting each binomial equal to zero gives us the solutions:

x - 2 = 0 or x - 3 = 0

Therefore, the solutions are x = 2 and x = 3.

📝 Note: Factoring is not always possible, especially for equations with non-integer coefficients or when the discriminant is negative.

Completing the Square

Completing the square is another method for solving ecuaciones de segundo grado. This method involves rewriting the quadratic equation in a form that includes a perfect square trinomial. The general steps for completing the square are:

  1. Rewrite the quadratic equation in the form ax² + bx + c = 0.
  2. Divide the entire equation by a to make the coefficient of equal to 1.
  3. Move the constant term to the right side of the equation.
  4. Complete the square by adding and subtracting the square of half the coefficient of x on the left side.
  5. Rewrite the left side as a perfect square and solve for x.

For example, consider the quadratic equation x² - 6x + 8 = 0. We can complete the square as follows:

x² - 6x + 8 = 0

Divide by 1 (since a = 1):

x² - 6x = -8

Complete the square by adding and subtracting (-62)² = 9:

x² - 6x + 9 = -8 + 9

(x - 3)² = 1

Take the square root of both sides:

x - 3 = ±1

Therefore, the solutions are x = 4 and x = 2.

📝 Note: Completing the square is a versatile method that can be used for any quadratic equation, but it can be more time-consuming than other methods.

Using the Quadratic Formula

The quadratic formula is a general method for solving ecuaciones de segundo grado. It provides a direct way to find the solutions of any quadratic equation. The quadratic formula is given by:

x = [-b ± √(b² - 4ac)] / (2a)

To use the quadratic formula, follow these steps:

  1. Identify the coefficients a, b, and c from the quadratic equation ax² + bx + c = 0.
  2. Calculate the discriminant Δ = b² - 4ac.
  3. Substitute the values of a, b, and Δ into the quadratic formula.
  4. Simplify the expression to find the solutions for x.

For example, consider the quadratic equation 2x² - 4x - 6 = 0. We can use the quadratic formula as follows:

Identify the coefficients: a = 2, b = -4, c = -6.

Calculate the discriminant:

Δ = (-4)² - 4(2)(-6) = 16 + 48 = 64

Substitute the values into the quadratic formula:

x = [-(-4) ± √64] / (2 * 2)

x = [4 ± 8] / 4

Therefore, the solutions are x = 3 and x = -1.

📝 Note: The quadratic formula is the most reliable method for solving ecuaciones de segundo grado, as it works for all types of quadratic equations, including those with complex solutions.

Special Cases of Quadratic Equations

There are special cases of quadratic equations that have unique solutions or no solutions at all. Understanding these cases is important for a comprehensive understanding of ecuaciones de segundo grado.

Consider the following special cases:

  • Perfect Square Trinomials: These are quadratic equations that can be written as the square of a binomial. For example, x² + 6x + 9 = (x + 3)². The solutions to these equations are the roots of the binomial.
  • Equations with No Real Solutions: These are quadratic equations with a negative discriminant (Δ < 0). For example, x² + 2x + 5 = 0 has no real solutions, as the discriminant is -16.
  • Equations with One Real Solution: These are quadratic equations with a discriminant of zero (Δ = 0). For example, x² - 6x + 9 = 0 has one real solution, x = 3.

Applications of Quadratic Equations

Quadratic equations have numerous applications in various fields. Some of the most common applications include:

  • Physics: Quadratic equations are used to model the motion of objects under the influence of gravity, such as projectiles and falling objects.
  • Engineering: Quadratic equations are used in structural analysis, circuit design, and optimization problems.
  • Economics: Quadratic equations are used to model cost and revenue functions, as well as to optimize production and pricing strategies.
  • Computer Science: Quadratic equations are used in algorithms for optimization, data fitting, and machine learning.

Practice Problems

To solidify your understanding of ecuaciones de segundo grado, it is essential to practice solving a variety of quadratic equations. Here are some practice problems to help you improve your skills:

Problem Solution
x² - 7x + 12 = 0 x = 3 and x = 4
2x² + 5x - 3 = 0 x = -3 and x = 0.5
x² + 4x + 4 = 0 x = -2
3x² - 2x - 1 = 0 x = 1 and x = -13

Solving these practice problems will help you become more proficient in solving ecuaciones de segundo grado and prepare you for more advanced topics in mathematics.

Solving ecuaciones de segundo grado is a fundamental skill that has wide-ranging applications in various fields. By understanding the different methods for solving quadratic equations, such as factoring, completing the square, and using the quadratic formula, you can tackle a variety of problems with confidence. Whether you are a student, a professional, or simply someone interested in mathematics, mastering the art of solving ecuaciones de segundo grado will open up new opportunities and deepen your understanding of the world around you. With practice and dedication, you can become proficient in solving these equations and apply your skills to real-world problems.

Related Terms:

  • ecuaciones de segundo grado pdf
  • ecuaciones cuadraticas
  • calculadora ecuacion segundo grado
  • ecuaciones de segundo grado formula
  • ecuaciones de segundo grado concepto
  • formula ecuaciones segundo grado
Facebook Twitter WhatsApp
Related Posts
Don't Miss